栏目导航
- 荣光无限网站第六次全面改版21.10.01
- 本站启用主域名:leslie.org.cn19.01.08
- 【全赖有你*共同渡过】荣光无17.05.10
- 哥哥六十周年生辰快乐!16.09.12
- 荣光无限论坛暂时关闭16.05.28

本专辑是为了配合张国荣2000年《热情演唱会》推出的,由张国荣、梁荣骏共同担任制作人,张国荣还负责专辑里4首歌曲的作曲。本专辑共发售有红、黄、绿三色背景的封面。严格来讲,本专辑是张国荣生前最后一张具备完整概念、收录全新歌曲的个人大碟(录音室专辑)。
2000年11月22日,环球唱片发行日本版的《大熱 + アンタイトルド》(UICO-1006/7)2CD套装,其中《大热》(DISC 1)比香港版多收录一首“Tonight and Forever”(Track 13),编曲和唱法有别于2001年在《Forever (新曲+精选)》中收录的“Tonight and Forever”。
曲目列表:
[Visual]
01. Computer Data, Not Playable
02. 没有爱 Music Video
[Audio]
01. 我
02. 大热
03. 侯斯顿之恋
04. 身边有人
05. 奇迹
06. Don't lie to me
07. 午后红茶
08. 没有爱
09. 愿你决定
10. 没有烟总有花
11. 发烧(国语)
12. 我(国语)
Produced by Alvin Leung, Leslie Cheung
Co-produced by Tommy "Sai Fay" Chui
Mastering by David Sum, Raymond Yu using the HDCD Model One Processor
Recorded by David Sum, Owen Kwan, Ako Cheung, Simon Li at Avon Recording Studios
Art Director: 奚仲文
Photographer: Sam Wong
Hair Stylist: Herman Law
Make-up Artist: Judy Leung
Jacket Design: Shya-La-La Workshop
Promotion In Charge: Lisa Kan
Promotion (TV): Horace Wai, Joey Ng
Promotion (Radio): Ivan Mui, Wick To, Andy Liu
中国星集团 一百年电影有限公司
"By Courtesy of China Star Entertainment Group"
℗ 2000 Apex Music Production
© 2000 Universal Music Ltd.
Marketed by Universal Music Ltd., Hong Kong / Singapore/ Malaysia / Canada. All rights reserved.
Unauthorized copying, reproduction, hiring, lending, public performance and broadcasting prohibited.
www.umg.com.hk / 542967-2
日本版《大热+Untitled》2CD套装,详见:http://bbs.leslie.org.cn/thread-23310-1-1.html
专辑歌词:
1. 我 3:41
曲:张国荣 词:林夕 编曲:赵增熹
I am, what I am?
我是我 多么特别的我
多庆幸 大地有不只一种足印
神造世人 种种色色都有他公允
我很庆幸 站在我屋顶快乐做人
拿着我心 告诉世界何谓勇敢
我是甚么 在十个当中只得一个
葡萄园里 响起水仙子的赞歌
我是甚么 是万世沙砾当中一颗
石头大这么多 我也会喜欢这个我
我很庆幸 万物众生中磊落做人
怀着诚恳 告诉世界何谓勇敢
我是甚么 在十个当中只得一个
葡萄园里 响起水仙子的赞歌
我是甚么 是万世沙砾当中一颗
石头大这么多 感激天生这个我
℗ Apex Music Production
Grand Piano: Chiu Tsang Hei
Strings conducted by San Biao
Mixed by David Sum
2. 大热 3:40
曲:张国荣 词:林夕 编曲:唐奕聪
我扑向你 似扑向了悬崖
我要抱你 要抱到你腐坏
若未领会 铭心刻骨怎了解
爱这世界 那够爱你伟大
吻过了你 会使我更自大
愿望实现 地广天高都瓦解
凭着发肤之躯 爱火中烧 足够将破坏力炫耀
谁在煽风点火 我的高烧 铁石亦会被融掉
大热像赤道重叠 命运注定若离别
世界快将有浩劫 陨石最终碰撞磨灭
大热越爱越狂热 妒忌像火焰强烈
血气铸出钢铁 地球大战怎比爱轰烈
℗ Apex Music Production
Drum: Davy Chan
Guitars: Jason Lee
Bass: Ho Chun Kit
Strings arranged and Conducted by San Biao
Background Vocals: Patrick / Albert / Nancy / Jackie
B. V. arranged by Patrick
Mixed by David Sum
3. 侯斯顿之恋 4:13
曲:Eric Kwok 词:林夕 编曲:Peter Kam
仿佛我已经登上月球
牵不到你手失去重量 亦无人来拯救
和侯斯顿中断了通讯 其实你收到没有
只知我曾经跟你漫游
不知道已经失去引力 以为仍然紧扣
万里差距仍想说 多想说你请不要放手
边想边讲 我边走 直到回头路上
花也没有 绿草也没有 只余小沙丘
你快听听 听听 你听听 在我背后
千里外什么也没有 只余风沙吹奏
即使我已经登上月球
观赏你寄居这个美丽地球 玲珑剔透
离侯斯顿山长与水远 其实有差距没有
即使我如今一个漫游
都想对你讲祝你快乐 未来前程锦绣
地阔天厚还收到 收不到你请不要放手
℗ Warner/Chappell Music HK Ltd. / Apex Music Production
Programming: Peter Kam
B. V. arranged by Albert
Background Vocals: Patrick / Albert / Nancy / Silver
Mixed by David Sum
4. 身边有人 4:05
曲:松本俊明 词:林夕 编曲:Adrian Chan
从电话中亲你 跌入冰天雪地
仿似多年前 亲手将你处死
还用心安抚你 当做我的责任
但还未慰问谁料你讲 已不要紧
混杂着断断续续对话
听筒中响起一声吉它
就像附和我这么自私
抛开你 你亦无权让人在家
原来是身边有人 心中有人牵挂
原来在身边有人 不需我为你负责为你自责吧
℗ Passport Publishing (adm. by EMI Music Publishing Hong Kong)
Synthesizers: Adrian Chan
Strings arranged and Conducted by San Biao
Grand Piano: Anthony Sun
Guitars: Barry Chung
Background Vocals: Patrick / Albert / Nancy / Silver
B. V. arranged by Patrick
Mixed by David Sum
5. 奇迹 4:49
曲:徐日勤 词:林夕 编曲:徐日勤
不要妒忌 不要模拟这段戏
曾经 差一点想过死
曾活得多么卑微 为博取他不忍分离
这段爱 背后似孤雏传奇
天爱上地 不会完全凭运气
这刻春光明媚 差点不忍记起
那日我 狂哭不止
不再哭 才只不过为了 为了伴侣欢喜
多少辛酸不可告人 多少光阴都只有等
陈年梦想终于可成真 才能共他分享这半生
多少艰苦不可告人 多少哀伤刻骨铭心
才能换取今天的情感 令每寸身躯也有烙印
两人才会 如奇迹 那样衬
℗ Apex Music Production
Keyboards: Alan Tsui
Guitars: Joey Tang
Background Vocals: Patrick
Strings conducted by San Biao
Mixed by Ako Cheung
6. Don't lie to me 4:22
曲:Nylen/Sela 词:周礼茂 编曲:唐奕聪
尽管说谎 回头但要记住
归不了家 被工作困住
失恋友好 同时做了错事
你痴 又去陪你痴
心只介意 三番四次
怎么歉意 渐变得奢侈
若要世界不知 (若现在尚理智) 想想不要去开始
Yeah! Yeah! 但若要我不知 好好花费你心思
要说的请要自问满意 (极爱你怎么都可宽恕)
亦请你讲我知
不想听到 前言后语悬殊
失恋友好 被工作困住
归不了家 你已不止一次
我知 但我未要知
找点兴致 彼此偶尔
当天协议 自觉得可耻
放下怀疑 当作没事
盼望重头 重头有美丽日子
世界倘知道了 (世界倘知道)
只一个我不知 (只一个我不知)
世界都不爱你 (世界都不爱)
只一个我心痴 (只一个我心痴)
Why did you lie to me
Why did you lie to me...
℗ Warner/Chappell Music Scandinavia AB / W. S. Music Ltd. /
Bird & Child Ltd. (adm. by Warner/Chappell Music HK Ltd.) /
Warner/Chappell Music HK Ltd.
Synthesizers programming & Keyboards: Gary Tong
Background Vocals: Leslie, Danny, Albert, Nancy, Sarah
Guitars: Joey Tang Mixed by Simon Li
7. 午后红茶 5:10
曲:Davy Chan 词:林夕 编曲:Adrian Chan
有这么多个理想 有些根本不到我想
也有些得到会变样 久不久隔靴搔痒 闷热当乘凉
吻你假使将会中枪 宁愿运用自由想象
你我都不想再重伤 山水画只可景仰 难住进现场
面对面 难望着枕边呵欠
也扫过咖啡的杯垫 快乐快得自然
总发现 十对甜蜜伴侣幸福表演
其实有九对这样过 红茶或咖啡喝十个十年
如果失去晚节会很可怕 趁这下午喝啖红茶
如果得到早餐使你融化 随着日落谢绝对话
杯耳未裂便放下 谁又要参观你的家
喝过半杯西冷茶 热过半天烟花
凌晨别记挂
℗ Warner/Chappell Music HK Ltd. / Apex Music Production
Programming and Guitars: Adrian Chan
Bass: Ho Chun Kit
AC Piano: Anthony Sun
B. V. arranged by Patrick
Background Vocals: Patrick / Albert / Nancy / Silver
Strings arranged and Conducted by San Biao
Mixed by David Sum
8. 没有爱 4:11
(电影《恋战冲绳》主题曲)
曲:Ahlstrand/Bertilsson/Broman 词:林夕 编曲:Adrian Chan
没有你 连睡觉也无谓
怀内有你 忘掉了我身体
能为了你苦恼 才知道付出比接收好
明白怎么兴奋 才知道发烧比冷感好
摇荡着的心 微震过的手 你没有
能活着多久 能再爱多久 你没有
卖弄着美丽眼眸 却爱得不尽情
如何有满足感 或内疚
没有爱 连睡觉也无谓
忘掉了爱 无谓再爱身体
能为了你苦恼 才知道留恋比结束好
明白怎么兴奋 才知道痛心比散心好
℗ Warner/Chappell Music Scandinavia AB /
Warner/Chappell Music HK Ltd. / Apex Music Production
Synthesizers programming: Adrian Chan
Guitars: Barry Chung, Adrian Chan
Percussion: Johny Boy
Background Vocals: Patrick, Albert
B.V.arranged by Patrick
Mixed by David Sum
9. 愿你决定 3:59
曲:罗文聪 词:林振强 编曲:Adrian Chan
年月悄悄远走了 悄悄得仿似午夜晚风飘
每刚感觉到却又已走了 前尘旧歌可知多少
不过忘不了 是流年中 虚空里 竟会有一曲这样妙
旋律载满你的爱 这恋曲音韵创自你笑声
每当心碎了挫败跌倒了 凝神静听这旧调
一切重生了 在流年中 虚空里 所有冷冰的暖了
常常望愿你决定 共我相伴活出生命
即使我来时没有爱 离别盛载满是情
祈求望命里注定 就算几多风雨劲
准许这个我共你于今生 恋得高兴 (爱得高兴)
来日悄悄我走了 悄悄得仿似午夜晚风飘
你将感觉到我没有走远 仍留在听这旧调
当你重温我 在茫然中 思忆里 所有冷冰的暖了
℗ Forward Music Publishing Co., Ltd. / Fujipacific Music (S. E. Asia) Ltd.
Programming and Guitars: Adrian Chan
Drums: Davy Chan
Bass: Ho Chun Kit
Background Vocals: Patrick / Albert / Nancy / Silver
B. V. arranged by Patrick
Mixed by David Sum
10. 没有烟总有花 3:52
(“千禧年共创无烟草香港运动”主题曲)
曲:Adrian Chan 词:林夕 编曲:赵增熹
游戏再好玩 不过烧时间
拒绝有多难 继续更加为难
神秘的火花 亦迟早凋残 难习惯迟早惯
不可爱 亦会越爱越灿烂 你爱他有几晚
从前多平凡 都一般晚餐
越看越看越灿烂 如合起双眼
从前的烟花 如灰飞的眉弯
如浮云没有烟 花园总有花
可以放下不必恋上 那暂借芳华
童年时没有他 记忆一般似画
亦每天吸气每天呼气 不用靠它
谁觉得弃挂
如抬头没有烟 心中总有花
烧散过后烟花总会 似白雪无瑕
如从来没有他 记忆怎需要他
亦那么吸气那么呼气 哪会惊怕
℗ Passport Publishing (adm. by EMI Music Publishing Hong Kong)
Guitars: Danny Leung
B. V. arranged by Patrick
Mixed by Owen Kwan
Background Vocals: Patrick / Albert / Nancy / Silver
11. 发烧 (国语) 3:40
曲:张国荣 词:林夕 编曲:唐奕聪
让我拥抱 要不让我疯狂
让我思念 要不让我死亡
不爱则已 一爱就要最难忘
给我地久 要不给我天长
陪我地老 要不陪我天荒
走到地狱 否则伴我到天堂
宁愿把我熔解也不告别 我的爱永远不妥协
宁愿把我的血燃烧一切 世界为你而毁灭
发烧 要爱到狂飙 千里迢迢跑不掉
命运 两个人拥抱 就让头发纠缠燃烧
发烧 不能不发飙 爱到我不可救药
晕倒 在你怀抱 世界末日没有大不了
℗ Apex Music Production
Drum: Davy Chan
Guitars: Jason Lee
Bass: Ho Chun Kit
Strings arranged and Conducted by San Biao
Background Vocals: Patrick / Albert / Nancy / Jackie
B.V.arranged by Patrick
Mixed by David Sum
12. 我 (国语) 3:41
曲:张国荣 词:林夕 编曲:赵增熹
I am, what I am?
我永远都爱这样的我
快乐是 快乐的方式不只一种
最荣幸是 谁都是造物者的光荣
不用闪躲 为我喜欢的生活而活
不用粉墨 就站在光明的角落
我就是我 是颜色不一样的烟火
天空开阔 要做最坚强的泡沫
我喜欢我 让蔷薇开出一种结果
孤独的沙漠里 一样盛放的赤裸裸
多么高兴 在琉璃屋中快乐生活
对世界说 甚么是光明和磊落
我就是我 是颜色不一样的烟火
天空开阔 要做最坚强的泡沫
我喜欢我 让蔷薇开出一种结果
孤独的沙漠里 一样盛放的赤裸裸
℗ Apex Music Production
Grand Piano: Chiu Tsang Hei
Strings conducted by San Biao
Mixed by David Sum
Tonight and Forever 4:19
曲/词:Thomas Ahlstrand / Peter Malmrup
(收录于日本版《大熱 + アンタイトルド》Track 13)
Tonight and forever
Tonight and forever
It's just another night another day
Your heart is still so far away
I need to be near
I never thought that I would feel this way
But now I know that I am sure
I wish you were here
I wanna be here right by your side
I wanna be the only one
Can I hold you tonight And forever baby
It's doesn't matter where you are
We will never be apart I'll be there
Tonight and forever
It's doesn't matter where you stay
I will hold you anyway In my heart
Tonight and forever
Tonight and forever
And everything that you are by my side
My heart is written oh so clear
I feel like a child So hear me out
And please don't get me wrong
I do believe that we belong Together my love
I wanna be here right by your side
I wanna be the only one
Can I hold you tonight and forever baby
(It's doesn't matter where you are)
We will never be apart I'll be there
Tonight and forever
It's doesn't matter where you stay
I will hold you anyway In my heart
Tonight and forever
I should have told you but I didn't know how
Wish I was holding you now
Tonight and forever
Tonight and forever
Tonight and forever
Tonight and forever
It's doesn't matter where you are
We will never be apart I'll be there
Tonight and forever
It's doesn't matter where you stay
I will hold you anyway In my heart
Tonight and forever
Tonight and forever
Tonight and forever
Produced by Alvin Leung, Leslie Cheung
Written by Thomas Ahlstrand, Peter Malmrup
Arranged by Thomas Ahlstrand
Published by Warner/Chappell Music Scandinavia AB
Guitars by Torbjorn Fall
Strings by Marika Quartett
Backing Vocals by Peter Malmrup, Stefan Nykvist, Albert Lui and Patrick Lui
Vocal arranged by David Sum
Mixed and Mastered by David Sum using the HDCD model one processor, Avon Recording Studios, HK
红色封面卡片
绿色封面卡片
黄色封面卡片
专辑全貌
专辑全貌
CD碟片
CD碟片
日本版《大熱 + アンタイトルド》封面
日本版《大熱 + アンタイトルド》封底
日本版《大熱 + アンタイトルド》DISC 1: 大熱
日本版《大熱 + アンタイトルド》DISC 2: Untitled
日本版《大熱 + アンタイトルド》歌词本封面
日本版《大熱 + アンタイトルド》歌词本封底
日本版《大熱 + アンタイトルド》曲目列表
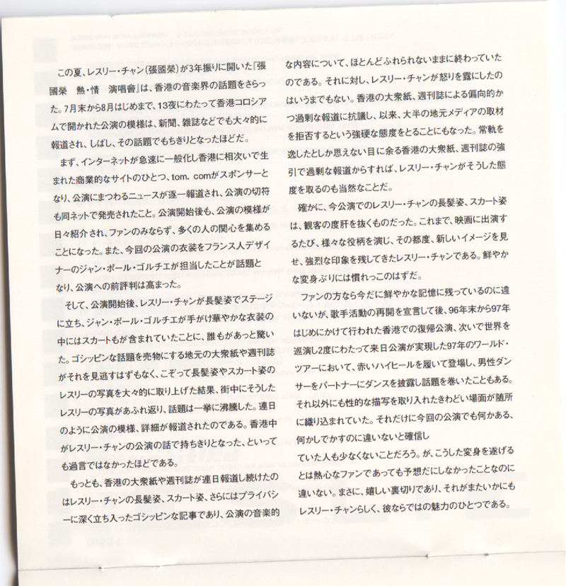
日本版《大熱 + アンタイトルド》内页介绍 (一)
日本版《大熱 + アンタイトルド》内页介绍 (二)
日本版《大熱 + アンタイトルド》内页介绍 (三)
日本版《大熱 + アンタイトルド》内页介绍 (四)